Analyzing USP Ethyl alcohol impurities

Ethanol or Alcohol (Ethyl alcohol), is a chemical that is extensively used in pharmaceuticals and commonly found in consumer products. Ethanol finds application in many formulations of products such as over-the-counter (OTC) products, skin disorder treatments, cosmetics and beauty products, and hand sanitizers and disinfectants.

It is crucial to monitor the quality of ethanol that finds its way into such products to protect human and animal health. This article presents an evaluation of trace level impurities that can be found in ethanol as per USP guidelines.

Herein the analysis of USP grade Ethanol as per the USP recommended condition and procedures is described. This is followed by the description of a modified procedure that generates excellent results with vastly improved data throughput and a considerable reduction in laboratory sample preparation time.

Instrumentation

The PerkinElmer Clarus® 690 GC with built-in autosampler was employed to conduct these experiments. Configuration of the Clarus 690 GC was in arrangement with a capillary injector and dual wide range flame ionization detector (FID).

A PerkinElmer Elite 624 and BAC-1 columns were installed in the injector via a two-hole ferrule or a “Y” splitter as displayed in Figure 1. Table 1 details the GC conditions necessary for the required analysis.

30 m 0.32 mm Elite 624 and Elite-BAC columns used in this study.

Figure 1. 30 m 0.32 mm Elite 624 and Elite-BAC columns used in this study. Image Credit: PerkinElmer

Table 1. Chromatography conditions. Source: PerkinElmer

GC Parameters  
Instrument PerkinElmer Clarus 690 GC
Carrier Gas Helium
Columns Elite-624 30 m 0.32 mm 1.8 µm N9316203
Elite-BAC1 30 m 0.32 mm 1.8 µm N9315071
Column Pneumatics LCV: 35 cm/sec Split flow: 20 mL/min
Autosampler Parameters
Syringe size 5 µL
Injection volume 1 µL
Injection speed Normal
# of plunges 8
Pre-washes 0
Sample washes 2
Post washes 4
Viscosity delay 0
Injector Parameters
Injector Type: CAP Temp: 200 °C
Detector Parameters
Type WR-FID
Temperature 230 °C
Range 20
Att -6
Hydrogen 30 mL/min
Air 450 mL/min
Data rate 12.5 pt/sec
Oven Parameters
Oven initial temperature 40 °C
Oven initial hold 12 minutes
Ramp Rate 10 °C/minute
Final temperature 240 °C
Final time 10 minutes
Oven maximum 260 °C
Equilibration time 0

 

Experimental

Sample preparation

An aliquot of the Ethanol sample is dispensed into a 2 mL autosampler vial and positioned in place within the built-in autosampler of the Clarus 690 Gas Chromatograph (GC).

Standard preparation

The USP method of standardization for Ethanol uses an unconventional standard addition technique. The main benefit of the method is precise results without the need to use high purity solvents; the concept involves spiking the sample with a known amount of target analyte and comparing this peak area with the peak area of an unspiked sample. For example, Benzene:

Benzene calculation

Result = [BE /(BT- BE )] x CB

BE = Peak area of benzene from Sample solution A
BT = Peak area of benzene from Standard solution D
CB = Concentration of benzene in Standard solution D (µL/L)

The GC conditions, in accordance with the USP protocol, are displayed in Table 1. PerkinElmer has developed a much faster method as an alternative using the same columns as outlined in the ‘Alternate Method’ section later in this article.

Calibration

Ethanol

Each sample necessitates 6 chromatographic runs as follows:

Sample solution A: Alcohol (substance under test)
Sample solution B: 300 uL/L of 4-methylpentan-2-ol in

Sample solution A Standard solution A: 200 uL/L of methanol in Sample solution A
Standard solution B: 10 uL/L of methanol and 10 uL/L of acetaldehyde in Sample solution A

Standard solution C: 30 uL/L of acetal in Sample solution A
Standard solution D: 2 uL/L of Benzene in Sample solution A

For each analyte target the USP method requires different calculation equations and the sample passes if the result is “Not More Than” (NMT) the concentrations listed for Standard solutions above.

Methanol

Calculation Result = (Ru / Rs)

Ru = Peak area of methanol from Sample solution A
Rs = Peak area of methanol from Standard solution A

Benzene Calculation

Result = [BE /(BT- BE)] x CB

BE = Peak area of benzene from Sample solution A
BT = Peak area of benzene from Standard solution D
CB = Concentration of benzene in Standard solution D (µL/L)

Acetaldehyde Calculation (sum of acetaldehyde and acetal)

Result = {[AE /(AT-AE )] x CA} + {[DE /(DT-DE)] x CD x (MR1/MR2)}

AE = Peak area of acetaldehyde from Sample solution A
AT = Peak area of acetaldehyde from Standard solution B
CA = Concentration of acetaldehyde in Standard solution B( µL/L )
DE = Peak area of acetal from Sample solution A
DT = Peak area of acetal from Standard solution C
CD = Concentration of acetal in Standard solution C ( µL/L )
MR1 = Molecular weight of Acetaldehyde, 44.05
MR2 = Molecular weight of Acetal, 118.2

Any other impurity calculation

Result = (Ru /Rm) x Cm

Ru = Peak area of each impurity in Sample solution B
Rm = Peak area of 4-methylpentan-2-ol in Sample solution B
Cm = Concentration of 4-methylpentan-2-ol in Sample solution B (µL/L)

Results and Discussion

Since there are numerous organic compounds, and many co-elute, dual column confirmation was employed to inhibit the reporting of false negatives, in accordance with USP for the conformation of benzene.

The forensic industry employs this method for blood alcohol evaluation to support compound identification. The USP method utilizes a G43 (common name 624) phase as the reporting column for results and allows for a column of different polarity stationary phase for the confirmatory column.

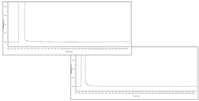
The BAC 1 phase was selected for its chromatographs and capacity to separate these compounds effectively. Additionally, it has been investigated thoroughly by the forensics industry as the reporting column for blood alcohol investigation. Ethanol was run spiked and unspiked as outlined below in Figure 2 to 7.

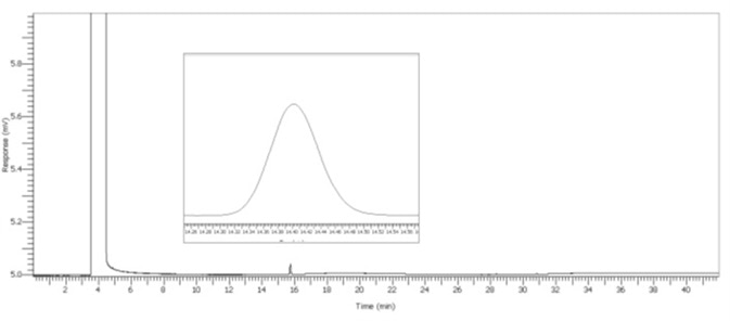
Ethanol sample under test.

Figure 2. Ethanol sample under test. Image Credit: PerkinElmer

300 μL/L 4-Methylpentan-2-ol spike.

Figure 3. 300 μL/L 4-Methylpentan-2-ol spike. Image Credit: PerkinElmer

200 μL/L Methanol spike.

Figure 4. 200 μL/L Methanol spike. Image Credit: PerkinElmer

200 μL/L Methanol and Acetaldehyde spike.

Figure 5. 200 μL/L Methanol and Acetaldehyde spike. Image Credit: PerkinElmer

30 μL/L Acetal spike.

Figure 6. 30 μL/L Acetal spike. Image Credit: PerkinElmer

2 μL/L Benzene spike.

Figure 7. 2 μL/L Benzene spike. Image Credit: PerkinElmer

An Ethanol sample of unknown history passed the USP criteria easily as displayed in Table 2.

Table 2. Calculation of impurities in Ethanol. Source: PerkinElmer

Name Acetaldehyde Methanol Benzene Acetal 4-methyl-2-pentanol
area [µV·s] area [µV·s] area [µV·s] area [µV·s] area [µV·s]
Ethanol Blank A 0 0 3.1 0 0
300 ppm 4-methyl-2-pentanol 0 0 0.8 0 2763.4
200 ppm methanol 0 336.1 4.3 0 0
10 ppm methanol/acetaldehyde 96 15 2.3 0 0
30 ppm acetal 0 0 1.5 164.4 0
2 ppm benzene 0 0 22.4 0 0
Ethanol Blank B 0 0 0.7 0 0
Acceptance Limit (NMT) 10 200 2 300
Ethanol Sample A results 0 0 0.32 0 5.54

 

Table 3. USP impurities in Ethanol, action limits (NMT) and repeatability. Source: PerkinElmer

Ethanol
Compound Action Limit (µL/L) Precision % RSD
Acetaldehyde 10 1.3
Methanol 200 1.3
Benzene 2 1.9
Acetal 30 1.3
4-Methyl-2-Pentanol 300 1.4

 

Summary

As demonstrated above, the PerkinElmer dual-column FID Clarus 690 GC analyzed impurities in Ethanol efficiently and effectively using the USP method with outstanding accuracy and selectivity for alcohols typically found in the manufacturing of hand sanitizer by USP methodology.

Alternate method

Alternate introduction

The analysis of Ethanol by the USP method as detailed above is in good working order and produces good results. There are a few items that could be improved upon in order to increase lab productivity.

Alternate experimental

The configuration of the instruments is identical as described vide supra.

The chromatography column and condition are only modified for improved data quality and speed of analysis but are otherwise similar to the above official USP conditions. The modified parameters are outlined below in Table 4.

Table 4. Alternate instrument parameters. Source: PerkinElmer

GC Parameters
Instrument PerkinElmer Clarus 690 GC
Carrier Gas Helium
Columns Elite-624 30 m 0.32 mm 1.8 µm N9316203
Elite-BAC1 30 m 0.32 mm 1.8 µm N9315071
Column Pneumatics LCV: 35 cm/sec Split flow: 20 mL/min
Autosampler Parameters
Syringe size 5 µL
Injection volume 1 µL
Injection speed Normal
# of plunges 6
Pre-washes 2
Sample washes 2
Post washes 2
Viscosity delay 0
Injector Parameters
Injector Type: CAP Temp: 200 °C
Detector Parameters
Type WR-FID
Temperature 230 °C
Range 20
Att -6
Hydrogen 30 mL/min
Air 450 mL/min
Data rate 12.5 pt/sec
Oven Parameters
Oven initial temperature 40 °C
Oven initial hold 5 minutes
Ramp rate 70 °C/minute
Final temperature 230 °C
Final time 1 minute
Oven maximum 230 °C
Equilibration time 0

 

Alternate method results and discussion

Alternate method standard combined all individual standards into a combined stock standard as displayed in Figure 9. External single point standardization was employed on each of the components and the subsequent results were quantified using the USP calculations, vide supra.

Ethanol test sample under alternate conditions.

Figure 8. Ethanol test sample under alternate conditions. Image Credit: PerkinElmer

USP impurities Standards at Action Limits.

Figure 9. USP impurities Standards at Action Limits. Image Credit: PerkinElmer

Combined Standard G43 column.

Figure 10. Combined Standard G43 column. Image Credit: PerkinElmer

Combined Standard BAC-1 column.

Figure 11. Combined Standard BAC-1 column. Image Credit: PerkinElmer

Figure 8 shows an unknown Ethanol that was processed and the results are detailed in Figures 10 and 11.

Table 6. % RSD of ethanol impurities. Source: PerkinElmer

Ethanol
Compound Precision % RSD (n=8)
Acetaldehyde 0.78
Methanol 1.17
Benzene 1.32
Acetal 0.97
4-Methyl-2-Pentanol 0.92

 

If benzene happens to be detected, it is necessary to rerun the sample with a different polarity column to verify that the peak is indeed benzene, not a co-eluting nontarget. The configuration employed in this study analyzes all target through each column sets, thus eliminating the need to remove columns and/or rerunning samples with positive benzene results.

Figure 12 displays benzene on two different polarities columns.

Benzene confirmation on G43 vs BAC-1.

Figure 12. Benzene confirmation on G43 vs BAC-1. Image Credit: PerkinElmer

Summary

The alternate method can speed-up the USP run time from 260 minutes to less than 7.5 minutes with an improvement greater than 28-fold in total. The modified method also significantly reduces the time needed for sample preparation, therefore saving both time and money.

The user can select either the standard or the faster alternate method for the identification of impurities in USP grade Ethanol by simply selecting the method appropriate for data acquisition. Outstanding precision and accuracy are accomplished using either mode.

About PerkinElmer

As a global technology leader, PerkinElmer is taking action to harness the power of insights and transform them into knowledge to deliver innovative, differentiated solutions for our customers.


Sponsored Content Policy: News-Medical.net publishes articles and related content that may be derived from sources where we have existing commercial relationships, provided such content adds value to the core editorial ethos of News-Medical.Net which is to educate and inform site visitors interested in medical research, science, medical devices and treatments.

Last updated: Feb 28, 2022 at 9:02 AM

Citations

Please use one of the following formats to cite this article in your essay, paper or report:

  • APA

    PerkinElmer. (2022, February 28). Analyzing USP Ethyl alcohol impurities. News-Medical. Retrieved on January 17, 2026 from https://appetitesciencelab.com/whitepaper/20220228/Analyzing-USP-Ethyl-Alcohol-Impurities.aspx.

  • MLA

    PerkinElmer. "Analyzing USP Ethyl alcohol impurities". News-Medical. 17 January 2026. <https://appetitesciencelab.com/whitepaper/20220228/Analyzing-USP-Ethyl-Alcohol-Impurities.aspx>.

  • Chicago

    PerkinElmer. "Analyzing USP Ethyl alcohol impurities". News-Medical. https://appetitesciencelab.com/whitepaper/20220228/Analyzing-USP-Ethyl-Alcohol-Impurities.aspx. (accessed January 17, 2026).

  • Harvard

    PerkinElmer. 2022. Analyzing USP Ethyl alcohol impurities. News-Medical, viewed 17 January 2026, https://appetitesciencelab.com/whitepaper/20220228/Analyzing-USP-Ethyl-Alcohol-Impurities.aspx.

Other White Papers by this Supplier

While we only use edited and approved content for Azthena answers, it may on occasions provide incorrect responses. Please confirm any data provided with the related suppliers or authors. We do not provide medical advice, if you search for medical information you must always consult a medical professional before acting on any information provided.

Your questions, but not your email details will be shared with OpenAI and retained for 30 days in accordance with their privacy principles.

Please do not ask questions that use sensitive or confidential information.

Read the full Terms & Conditions.