Monitoring Blood Flow with Ultrasonic Piezo Transducer

Throughout the surgical process, the surgeon must have access to a real-time assessment of blood vessels to make evaluations relative to the flow of blood. Piezo transducers are at the heart of state-of-the-art blood flow monitors.

Monitoring Blood Flow with Ultrasonic Piezo Transducer

The piezo effect (generation of electric charge under pressure, or mechanical deformation when an electric field is applied) can be found in several natural materials, such as quartz, but improved performance is achieved with special Piezo ceramic materials such as PZT (Plumbum Zirconate Titanate).

A piezoelectric elementary cell: Perovskite crystal structure of PZT (1) above Curie temperature, with Ti or Zr in non-piezoelectric, symmetrical cubic structure (2) Below Curie temperature, showing the non-symmetrical tetragonal structure which allows piezoelectric conversion (Image: PI Ceramic)

A piezoelectric elementary cell: Perovskite crystal structure of PZT (1) above Curie temperature, with Ti or Zr in non-piezoelectric, symmetrical cubic structure (2) Below Curie temperature, showing the non-symmetrical tetragonal structure which allows piezoelectric conversion (Image: PI Ceramic)

Preconfigured piezo transducers with PCB flex board connectors.

Preconfigured piezo transducers with PCB flex board connectors.

Modern piezo transducers can emit and detect high-frequency sound (often in the range of 5 to 10 MHZ), when used in conjunction with special electronic amplifiers. An accurate measure for the flow velocity of the blood (or just an audio signal equivalent to the flow) can be achieved using ultrasound pulses from the probe placed near the vessel, to reflect off the blood with the assistance of the Doppler Effect.

Resonant modes for different types of piezo transducers

Resonant modes for different types of piezo transducers

PI Ceramic offers various Piezo formulations for particular applications.

PIC255 material is recommended for use in Doppler applications for these reasons:

  • High permittivity
  • Low mechanical quality factor
  • High charge constant
  • High coupling factors

More information on piezoelectric materials

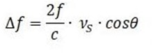
The Doppler Effect

The Doppler Effect can be put to good effect to measure the flow rates or flow velocities of liquids, suspended particles, or air bubbles. Following the transducer emitting an ultrasonic pulse, the ultrasonic waves (f0) are scattered or bounced by liquid particles. The resulting frequency shift of Δf over the transmitted and reflected wavefront (one transducer can be operated as transmitter/receiver) is relevant to the flow velocity vS of the particles. The angle θ across the direction of the measuring path and the emitted ultrasonic pulse must be accounted for:

Doppler Effect Equation

Furthermore, the frequency change determines the flow direction – higher frequency means particles moving towards the receiver, lower frequency signifies the particles moving away from the sensor. This is a well-known effect from a train sounding its whistle while approaching or leaving a crossing.

Ultrasound Transducers, Piezoelectric Transducers, Pumps, Medical Piezoelectric Transducers

Animation: Piezo transducers in a variety of medical and industrial applications

Medical Applications – Why Working with an Experienced Piezo Materials Manufacturer is a Benefit

Variety of miniaturized piezo transducers, 1 cent coin used for size comparison

Variety of miniaturized piezo transducers, 1 cent coin used for size comparison

Since devices for critical medical application require FDA approval, reliability, longevity, and all components maintaining the performance of consistency of are important factors for production. PI Ceramic can offer consistent batch-to-batch performance in small form factors such as plates or discs with customized electrode configurations for easy probe integration, and value-added assemblies.

With 350 employees dedicated and assigned to manufacturing superior PZT components on the market, the tone and high-standards are set for your acoustic flow monitoring application. Consistency is rooted in complete control of the piezoceramic manufacturing process from raw materials to the ultimate quality assurance, which includes strategic stocking of all materials crucial to production.

About PIImage

PI is a leading manufacturer of precision motion control systems such as Piezo Nanopositioning Systems, Air Bearings, Linear Motor Stages, Microscope Stages, Motion Controllers, Piezo Flexure Mechanisms, Piezo Ceramic Motors and Hexapod 6-Axis Stages -- for photonics, bio-nanotechnology, medical device & semiconductor applications.

PI recently acquired the majority of ACS, a global leader in high-end motion controllers for precision industrial automation. PI USA is also specialized in Air Bearing positioning systems boasting over 200 man-years of in-house air bearing design experience.

Linear, planar XY, and rotary air bearing stages and custom turnkey systems are available to serve industrial and research markets. Piezo actuators from our PI Ceramic division and precision stages from our PI miCos division were selected by NASA for the Mars Mission and are employed on in the Curiosity rover science lab. PI has been developing and manufacturing standard & custom precision products with piezoceramic and electromagnetic drives for 40 years.


Sponsored Content Policy: News-Medical.net publishes articles and related content that may be derived from sources where we have existing commercial relationships, provided such content adds value to the core editorial ethos of News-Medical.Net which is to educate and inform site visitors interested in medical research, science, medical devices and treatments.

Last updated: Feb 15, 2024 at 8:31 AM

Citations

Please use one of the following formats to cite this article in your essay, paper or report:

  • APA

    Physik Instrumente. (2024, February 15). Monitoring Blood Flow with Ultrasonic Piezo Transducer. News-Medical. Retrieved on January 19, 2026 from https://appetitesciencelab.com/whitepaper/20190924/Monitoring-Blood-Flow-with-Ultrasonic-Piezo-Transducer.aspx.

  • MLA

    Physik Instrumente. "Monitoring Blood Flow with Ultrasonic Piezo Transducer". News-Medical. 19 January 2026. <https://appetitesciencelab.com/whitepaper/20190924/Monitoring-Blood-Flow-with-Ultrasonic-Piezo-Transducer.aspx>.

  • Chicago

    Physik Instrumente. "Monitoring Blood Flow with Ultrasonic Piezo Transducer". News-Medical. https://appetitesciencelab.com/whitepaper/20190924/Monitoring-Blood-Flow-with-Ultrasonic-Piezo-Transducer.aspx. (accessed January 19, 2026).

  • Harvard

    Physik Instrumente. 2024. Monitoring Blood Flow with Ultrasonic Piezo Transducer. News-Medical, viewed 19 January 2026, https://appetitesciencelab.com/whitepaper/20190924/Monitoring-Blood-Flow-with-Ultrasonic-Piezo-Transducer.aspx.

Other White Papers by this Supplier

While we only use edited and approved content for Azthena answers, it may on occasions provide incorrect responses. Please confirm any data provided with the related suppliers or authors. We do not provide medical advice, if you search for medical information you must always consult a medical professional before acting on any information provided.

Your questions, but not your email details will be shared with OpenAI and retained for 30 days in accordance with their privacy principles.

Please do not ask questions that use sensitive or confidential information.

Read the full Terms & Conditions.