Urinary proteomic COV50 marker accurately predicts adverse COVID-19 outcomes

The severe acute respiratory syndrome coronavirus 2 (SARS-CoV-2) infection causes the coronavirus disease 2019 (COVID-19) with varying severity. Researchers have recently questioned whether disease progression can be predicted by using specific non-invasive methods during the early stages of infection.

In a recent medRxiv* study, researchers provide an interim analysis of the Prospective Validation of a Proteomic Urine Test for Early and Accurate Prognosis of the Critical Complications in Patients with SARS-CoV-2 Infection Study (CRIT-Cov-U) pilot study. To this end, the researchers described COV50, a urinary biomarker that can predict death and disease progression.

Study: Predictive performance and clinical application of COV50, a urinary proteomic biomarker in early COVID-19 infection: a cohort study. Image Credit: Kristini / Shutterstock.com

Study: Predictive performance and clinical application of COV50, a urinary proteomic biomarker in early COVID-19 infection: a cohort study. Image Credit: Kristini / Shutterstock.com

This news article was a review of a preliminary scientific report that had not undergone peer-review at the time of publication. Since its initial publication, the scientific report has now been peer reviewed and accepted for publication in a Scientific Journal. Links to the preliminary and peer-reviewed reports are available in the Sources section at the bottom of this article. View Sources

COV50

Urinary proteomic profiling (UPP) refers to the identification and generation of classifiers from the urine sample of a patient. In the case of SARS-CoV-2 infection, UPP is independent of the viral strain and may also inform treatment decisions in patients with COVID-19.

The CRIT-Cov-U discovered a novel UPP biomarker, COV50, consisting of 50 deregulated urinary peptides. COV50 can predict death and disease progression across the COVID-19 World Health Organization (WHO) scores over and beyond the risk factors and comorbidities.

The current study consolidates the findings of CRIT-Cov-U and proposes potential applications of the COV50 biomarker in clinical practice.

CRIT-Cov-U study

The prospective multicenter cohort study was conducted in eight European countries, including Austria, France, Germany, Greece, North Macedonia, Poland, Spain, and Sweden.

A total of 1,012 adults with COVID-19 confirmed by reverse-transcriptase polymerase chain reaction (RT-PCR) were enrolled in the study. According to the eight-point WHO clinical progression scale, all study participants were followed up for death and progression until recovery, hospital discharge, or death. Urine samples of the patients were analyzed and profiled using capillary electrophoresis coupled with mass spectrometry.

The researchers also computed hospitalization costs based on several factors, including the number of hospitalization days and care-facility costing rates. These hospitalization costs were standardized across the five countries.

Study findings

The study participants had WHO scores of 1-3 in 44% patients, 4-5 in 52.3% patients, and six in 3.8% patients. Of the 1,102 patients enrolled, 119 died, and 271 progressed, all of whom had an average age was 62.3 years.

Of the study participants, 44.2% were women, 55% had hypertension, 15.2% had heart failure, 25.4% had diabetes, and 10.5% had cancer. The odds associated with COV50 were 1.67-fold for death and 1.63-fold for disease progression after adjusting for sex, age, body mass index, comorbidities, and baseline WHO score.

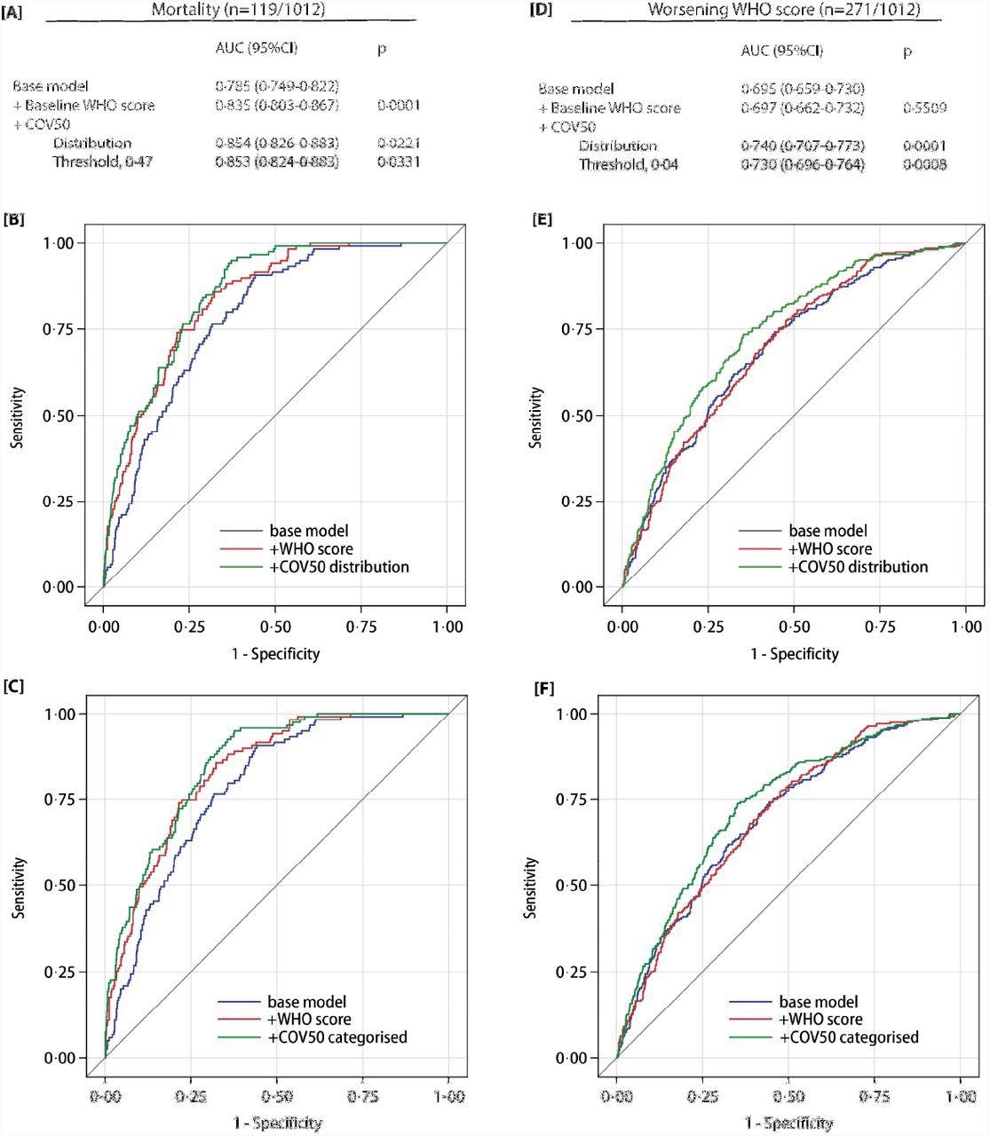
Performance of the COV50 urinary marker on top of other baseline risk factors in the full dataset for contrasting mortality vs survival (panels A-C) and for progression vs non-progression in the baseline WHO score during follow-up (panels D-F). The base model included sex, age, body mass index and the presence of comorbidities: hypertension, heart failure, diabetes or cancer. In subsequent steps, the baseline WHO score was added and next COV50 as a continuously distributed variable (panels B and E) or as a categorized variable based on an optimized threshold of 0·47 for mortality (panel C) or 0·04 for a worsening WHO score (panel F).

Performance of the COV50 urinary marker on top of other baseline risk factors in the full dataset for contrasting mortality vs survival (panels A-C) and for progression vs non-progression in the baseline WHO score during follow-up (panels D-F). The base model included sex, age, body mass index and the presence of comorbidities: hypertension, heart failure, diabetes or cancer. In subsequent steps, the baseline WHO score was added and next COV50 as a continuously distributed variable (panels B and E) or as a categorized variable based on an optimized threshold of 0·47 for mortality (panel C) or 0·04 for a worsening WHO score (panel F).

The prediction of the optimized COV50 0.47 threshold was 74.8% sensitive, 74.4% specific, and 74·4% accurate for mortality. Comparatively, the prediction of the 0.04 threshold was 67.5% sensitive, 67.3% specific, and 67.4% accurate for disease progression. Out of the 196 ambulatory patients, 194 did not reach the 0.04 threshold.

According to the current study, early intervention informed by the COV50 biomarker should reduce hospitalization days. As a result, the predicted hospitalization cost reductions will range from 1,208 million euros (M€) at low risk in patients with COV50 less than the 0.04 threshold. Comparatively, the cost reductions were estimated to be M€ 4,503 at high risk as defined as those with a COV50 threshold above 0.04 and over the age of 65 years.

Conclusions

The current study findings demonstrate that the COV50 biomarker is a novel urinary marker that accurately predicts COVID-19 outcomes. Furthermore, this is a non-invasive biomarker and is relatively inexpensive to complete compared to other hospitalization costs. In fact, COV50 is registered in Germany and is available for clinical testing and research in the European Union.

The urine sample of patients can be stored for five days at room temperature without affecting the UPP and can be stored at -20°C for future research. This allows remote testing of non-hospitalized patients with COVID-19.

COV50 can predict disease outcomes at the initial stage of SARS-CoV-2 infection. At this stage, disease progression is uncertain. A high-risk test outcome can help identify patients that require early administration of effective treatments.

Even in mild-to-moderate RT-PCR-confirmed SARS-CoV-2 infections, the 0.04 COV50 threshold justifies earlier drug treatment, which can ultimately reduce hospitalization days and costs. Aside from healthcare costs, cost-effectiveness can include non-monetary units like quality-adjusted life-years (QALYs), which were not addressed in this study.

Limitations

The current study is observational and does not provide the optimal strategy for COVID-19 treatment guided by COV50 risk profiling. The health-economic implications of the COV50 score and therapeutic decisions need to be studied. Furthermore, the current study only white European individuals; therefore, there is no available data on whether UPP is affected by ethnicity.

Although COV50 risk profiling can help make informed decisions regarding the therapeutic intervention, vaccination is still the most effective strategy in addressing the COVID-19 pandemic.

This news article was a review of a preliminary scientific report that had not undergone peer-review at the time of publication. Since its initial publication, the scientific report has now been peer reviewed and accepted for publication in a Scientific Journal. Links to the preliminary and peer-reviewed reports are available in the Sources section at the bottom of this article. View Sources

Journal references:

Article Revisions

  • May 10 2023 - The preprint preliminary research paper that this article was based upon was accepted for publication in a peer-reviewed Scientific Journal. This article was edited accordingly to include a link to the final peer-reviewed paper, now shown in the sources section.
Dr. Shital Sarah Ahaley

Written by

Dr. Shital Sarah Ahaley

Dr. Shital Sarah Ahaley is a medical writer. She completed her Bachelor's and Master's degree in Microbiology at the University of Pune. She then completed her Ph.D. at the Indian Institute of Science, Bengaluru where she studied muscle development and muscle diseases. After her Ph.D., she worked at the Indian Institute of Science, Education, and Research, Pune as a post-doctoral fellow. She then acquired and executed an independent grant from the DBT-Wellcome Trust India Alliance as an Early Career Fellow. Her work focused on RNA binding proteins and Hedgehog signaling.

Citations

Please use one of the following formats to cite this article in your essay, paper or report:

  • APA

    Sarah Ahaley, Shital. (2023, May 10). Urinary proteomic COV50 marker accurately predicts adverse COVID-19 outcomes. News-Medical. Retrieved on January 17, 2026 from https://appetitesciencelab.com/news/20220126/Urinary-proteomic-COV50-marker-accurately-predicts-adverse-COVID-19-outcomes.aspx.

  • MLA

    Sarah Ahaley, Shital. "Urinary proteomic COV50 marker accurately predicts adverse COVID-19 outcomes". News-Medical. 17 January 2026. <https://appetitesciencelab.com/news/20220126/Urinary-proteomic-COV50-marker-accurately-predicts-adverse-COVID-19-outcomes.aspx>.

  • Chicago

    Sarah Ahaley, Shital. "Urinary proteomic COV50 marker accurately predicts adverse COVID-19 outcomes". News-Medical. https://appetitesciencelab.com/news/20220126/Urinary-proteomic-COV50-marker-accurately-predicts-adverse-COVID-19-outcomes.aspx. (accessed January 17, 2026).

  • Harvard

    Sarah Ahaley, Shital. 2023. Urinary proteomic COV50 marker accurately predicts adverse COVID-19 outcomes. News-Medical, viewed 17 January 2026, https://appetitesciencelab.com/news/20220126/Urinary-proteomic-COV50-marker-accurately-predicts-adverse-COVID-19-outcomes.aspx.

Comments

The opinions expressed here are the views of the writer and do not necessarily reflect the views and opinions of News Medical.

Sign in to keep reading

We're committed to providing free access to quality science. By registering and providing insight into your preferences you're joining a community of over 1m science interested individuals and help us to provide you with insightful content whilst keeping our service free.

or

While we only use edited and approved content for Azthena answers, it may on occasions provide incorrect responses. Please confirm any data provided with the related suppliers or authors. We do not provide medical advice, if you search for medical information you must always consult a medical professional before acting on any information provided.

Your questions, but not your email details will be shared with OpenAI and retained for 30 days in accordance with their privacy principles.

Please do not ask questions that use sensitive or confidential information.

Read the full Terms & Conditions.

You might also like...
Poor lung gas exchange may help explain lingering brain symptoms in Long COVID