Flu shots and COVID-19 immunity

A new paper published on the preprint server medRxiv* finds that the influenza vaccine may influence both the response to and incidence of infection by the severe acute respiratory syndrome coronavirus 2 (SARS-CoV-2).

The researchers of the current study present evidence that those who took the flu shots experienced an immune response that reduced their risk of the coronavirus disease 2019 (COVID-19), the disease caused by SARS-CoV-2, by 37% during the first wave of the pandemic, and by almost half in the second wave. This indicates that influenza vaccination may protect against SARS-CoV-2 infection.

Study: Induction of Trained Immunity by Influenza Vaccination - Impact On COVID-19. Image Credit: Design_Cells / Shutterstock.com

This news article was a review of a preliminary scientific report that had not undergone peer-review at the time of publication. Since its initial publication, the scientific report has now been peer reviewed and accepted for publication in a Scientific Journal. Links to the preliminary and peer-reviewed reports are available in the Sources section at the bottom of this article. View Sources

Background

Against the background of the COVID-19 pandemic, much attention has gone into developing preventive and therapeutic measures to control the spread of SARS-CoV-2. Among the most effective, to date, have been the vaccines, all of which have been developed at an unprecedented speed and have since been administered to over 42.3% of the world’s population.

Several other vaccines, such as the bacilli Calmette-Guerin (BCG) vaccine against tuberculosis, have non-specific effects on immunity and can thus enhance the innate immune response against pathogens in general over the long term. This phenomenon is known as trained immunity.

Some studies have indicated that the annual flu shot provides cross-protection against COVID-19. The current study looked at the incidence of COVID-19 among hospital employees at one large hospital in the Netherlands and compared these rates among those who had previously received the flu shot with those who did not.

Flu shots associated with lower COVID-19 rate

The researchers of the current study found that the incidence of COVID-19 among hospital workers was much lower among those who had taken the quadrivalent flu shot. More specifically,184 cases of COVID-19 were reported, which included 3.3% of those who had not taken the flu shot as compared to 2.1% of those who had. Taken together, those who had received a flu shot experienced a risk reduction of 47%.

The same pattern was repeated in the second wave of the COVID-19 pandemic, where the flu shot coverage was 42%. The researchers found that 2% of those who were vaccinated against the flu, but 3.9% of those who were not, contracted COVID-19. The risk was thus 50% lower in the flu-shot group.  

Long-term transcription changes

The researchers found that this protective effect might be due to trained immunity. They examined the blood cells of the study participants before and after vaccination. To this end, changes in the transcription profile of both lymphoid and myeloid cells, particularly in CD14+ monocytes, were observed.

These innate immune cells showed differences in the regulation of 136 genes, very similar to the pattern seen in CD4+ naïve T-cells. The expression of myeloid cell nuclear differentiation antigen (MNDA) and cathepsin S (CTSS) was much higher than the baseline following flu vaccination. However, the JUN pathway that is related to the nuclear factor kappa-beta (NFKβ) signaling pathway, which was downregulated in the monocytes, was upregulated in the CD4+ T-cells.

Many of the pathways that are essential for host immune defenses against COVID-19 are expressed at higher levels within the monocytes of individuals after the flu shot. More specifically, higher expression was observed in both the antigen processing and presentation pathways that trigger the adaptive immune response.

Conversely, in naïve CD4+ T-cells, the genes involved in translation, protein localization, and viral gene expression were upregulated.

Reduced systemic inflammation

Since the hyper-inflammatory response seen in severe and critical COVID-19 is thought to be due to a dysregulation of the immune response that is triggered by SARS-CoV-2, this area was also explored.

The researchers found that almost 370 inflammatory proteins were strongly downregulated after the flu shot. This included many cytokines from the tumor necrosis factor (TNF) superfamily, interleukin receptor-associated proteins, and mitogen-activated protein kinase kinase 6. In fact, just one protein that is required for the synthesis of oligosaccharides for protein glycosylation was found to be upregulated.  

These data demonstrate that influenza vaccination is associated with lower systemic inflammation and downregulation of several inflammatory and apoptotic pathways.”

Lower cytokine production capacity

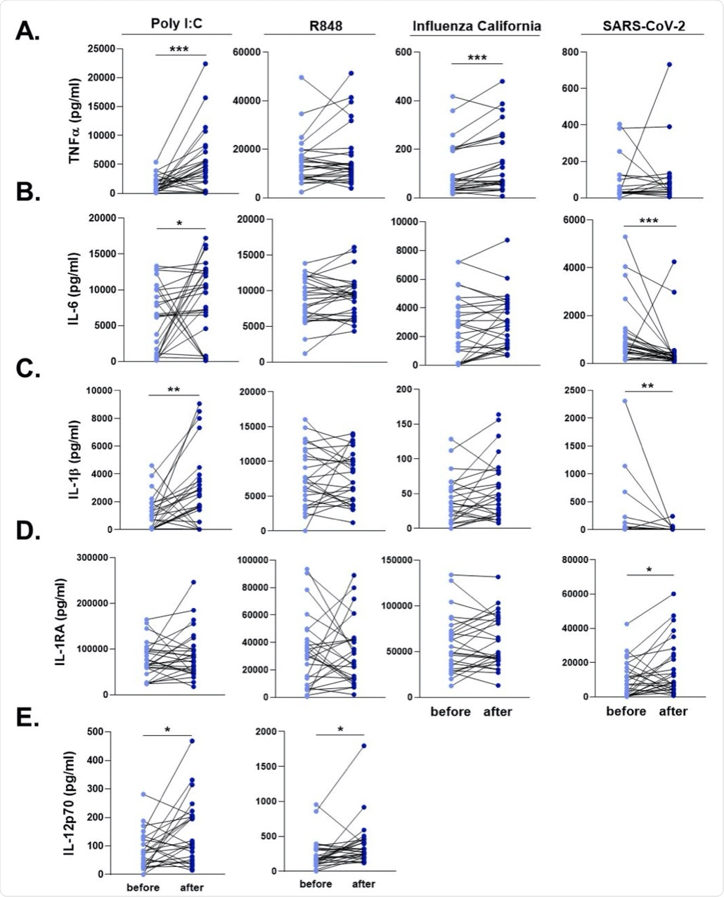
The scientists also found that stimulation with the inactivated flu virus led to enhanced TNFα production from white blood cells, as did the Toll-like receptor (TLR)3 ligand poly(I:C). The latter also caused an increase in the production of interleukin-6 (IL-6) six weeks after the flu vaccination.

Conversely, IL-6 was markedly reduced against SARS-CoV-2 at the same timepoint.

When the IL-1 pathway cytokines of IL-1β and 218 IL-1Ra were assessed in stimulated white blood cells, the researchers found that IL-1β levels were reduced against SARS-CoV-2 after the flu shot, whereas 218 IL-1Ra levels increased. Neither the flu virus nor SARS-CoV-2 caused detectable levels of IL-12 to be observed.

A. Principal component analysis (PCA) of circulating proteins belonging to 10 participants before and after vaccination. The mean difference between before and after in PC1 was calculated by Wilcoxon signed-rank test. B. Volcano plot depicting the fold changes after influenza vaccination. Red dots show significantly changing proteins. C. Selected chemokines whose abundances significantly decrease after the vaccination. Differences between protein expressions before and after influenza vaccination were analyzed using the Wilcoxon signed-rank test, n=10. NPX: Normalized protein expression. *p<0.05, **p<0.01.

The flu shot thus elicits a strong immune response to viral stimuli including poly(I:C). With subsequent SARS-CoV-2 challenge or infection, the immune response shifts towards a lower state of inflammation with higher levels of anti-inflammatory cytokine production. The baseline level of inflammation is correlated with a greater anti-inflammatory response in SARS-CoV-2 infection in people who have taken the flu vaccine.

PBMCs were stimulated with heat-killed Influenza H1N1 (California strain), heat-killed SARS-CoV-2, poly I:C, and R848 for 24 hours. A. TNFα, B. IL-6, C. IL-1β, D. IL-1RA, and E. IL-12 responses were quantified. SARS-CoV-2 and Influenza stimulations did not lead to detectable levels of IL-12. Wilcoxon signed-rank test was performed to compare the differences in cytokine production between before and after influenza vaccination. Light blue dots represent the cytokine values before vaccination, while dark blue dots show after vaccination. n=28 *p<0.05, **p<0.01, ****p<0,0001.

Implications

The results of this study show that the quadrivalent inactivated influenza vaccine reduces the risk of COVID-19 infection by up to 47%. Immune cells become more responsive to a variety of viral stimuli after the flu shot, thereby indicating that this vaccine trains the immune response.

The flu shot also reduces the inflammatory response to subsequent SARS-CoV-2 infection. The influenza vaccine is thus safe, even if the individual should later develop COVID-19.

A. Heatmap depicting the baseline (before vaccination) levels of inflammatory mediators that were downregulated by influenza vaccination and are significantly correlated with the induction of cytokines upon SARS-CoV-2 stimulation before vs. after vaccination. Red indicates positive correlation, and blue indicates negative correlation. B. Selected circulating protein and cytokine pairs that are significantly correlated. C. Correlation of circulating proteins that were upregulated by influenza vaccination with anti-SARS-CoV-2 cytokine responses, and dot plot depicting the association of baseline GALNT3 levels and induction IL-6 against SARS-CoV-2 after vaccination. r: Spearman’s correlation coefficient. *p<0.05, **p<0.01, ***p<0,001.

These findings agree to a large extent with earlier research showing an inverse correlation between flu vaccination and COVID-19-related serious illness and death. The underlying mechanism is hinted at in this study, in that training of the innate immune response results in a change in the transcriptional profile. This causes an accompanying change in the innate immune function beginning six weeks after vaccination.

The reduction of inflammatory gene expression indicates a potential mechanism by which the influenza vaccine reduces the severity of SARS-CoV-2-related tissue damage. The enhanced immune response may be linked to the reduced systemic inflammation after the flu shot.

This immune response is accompanied by a rapid and high production of inflammatory cytokines against influenza and poly(I:C), but not against SARS-CoV-2. This fine-tuning of the inflammatory response may maintain the balance in the host inflammatory state, thereby preventing dysregulated immune-inflammatory responses.

However, it is clear that different types of influenza vaccines, also depending on the adjuvants, induce distinct trained immunity programs.”

Further research is required to more accurately assess how these vaccines affect COVID-19 incidence and confirm their potential benefit.

This news article was a review of a preliminary scientific report that had not undergone peer-review at the time of publication. Since its initial publication, the scientific report has now been peer reviewed and accepted for publication in a Scientific Journal. Links to the preliminary and peer-reviewed reports are available in the Sources section at the bottom of this article. View Sources

Journal references:

Article Revisions

  • Apr 12 2023 - The preprint preliminary research paper that this article was based upon was accepted for publication in a peer-reviewed Scientific Journal. This article was edited accordingly to include a link to the final peer-reviewed paper, now shown in the sources section.
Dr. Liji Thomas

Written by

Dr. Liji Thomas

Dr. Liji Thomas is an OB-GYN, who graduated from the Government Medical College, University of Calicut, Kerala, in 2001. Liji practiced as a full-time consultant in obstetrics/gynecology in a private hospital for a few years following her graduation. She has counseled hundreds of patients facing issues from pregnancy-related problems and infertility, and has been in charge of over 2,000 deliveries, striving always to achieve a normal delivery rather than operative.

Citations

Please use one of the following formats to cite this article in your essay, paper or report:

  • APA

    Thomas, Liji. (2023, April 12). Flu shots and COVID-19 immunity. News-Medical. Retrieved on January 22, 2026 from https://appetitesciencelab.com/news/20210914/Flu-shots-and-COVID-19-immunity.aspx.

  • MLA

    Thomas, Liji. "Flu shots and COVID-19 immunity". News-Medical. 22 January 2026. <https://appetitesciencelab.com/news/20210914/Flu-shots-and-COVID-19-immunity.aspx>.

  • Chicago

    Thomas, Liji. "Flu shots and COVID-19 immunity". News-Medical. https://appetitesciencelab.com/news/20210914/Flu-shots-and-COVID-19-immunity.aspx. (accessed January 22, 2026).

  • Harvard

    Thomas, Liji. 2023. Flu shots and COVID-19 immunity. News-Medical, viewed 22 January 2026, https://appetitesciencelab.com/news/20210914/Flu-shots-and-COVID-19-immunity.aspx.

Comments

  1. Shawn Green Shawn Green United States says:

    Another example of non-specific protection rendered by unrelated vaccines, i.e., flu shot and the BCG vaccine, boosting innate immunity against SARS.  It is not uncommon that unrelated infectious agents exhibit an anti-inflammatory, broad spectrum, non-specific response which is likely mediated by nitric oxide.  In studies when evaluated for nitric oxide, it was found that BCG among other unrelated infectious agents triggers cytokine-dependent inducible nitric oxide synthase and nitric oxide release by both alveolar macrophages and non-immune cells, including fibroblast and airway epithelial cells, reducing pathogen burden and minimizing an uncontrolled inflammatory response.  Nitric oxide is likely contributing to the protective response observed in this report.  Previous studies showing nitric oxide's role in non-specific, innate immunity are highlighted: www.medpagetoday.com/.../86410

The opinions expressed here are the views of the writer and do not necessarily reflect the views and opinions of News Medical.
Post a new comment
Post

Sign in to keep reading

We're committed to providing free access to quality science. By registering and providing insight into your preferences you're joining a community of over 1m science interested individuals and help us to provide you with insightful content whilst keeping our service free.

or

While we only use edited and approved content for Azthena answers, it may on occasions provide incorrect responses. Please confirm any data provided with the related suppliers or authors. We do not provide medical advice, if you search for medical information you must always consult a medical professional before acting on any information provided.

Your questions, but not your email details will be shared with OpenAI and retained for 30 days in accordance with their privacy principles.

Please do not ask questions that use sensitive or confidential information.

Read the full Terms & Conditions.

You might also like...
Hybrid polymer nanocarriers enable efficient inhaled mRNA vaccine delivery to the lungs