Resurgent SARS-CoV-2 infections in England linked to Delta variant

A major factor contributing to the ongoing pandemic of severe acute respiratory coronavirus 2 (SARS-CoV-2) has been the emergence of new variants. Because the mutations of the original virus make variants more transmissible, there is more potential for the contagion to spread through social mixing due to the easing of lockdown.

The Delta variant (B.1.617.2) was first identified in India at the end of April 2021 and has since been the variant that has steadily started to replace the UK Alpha variant (B.1.1.7). This subsequently resulted in a delay of the final stage of easing lockdown within the UK, which consisted of another four weeks from the original release date of 21st June, to the new date of 19th July.

A large group of UK-based researchers contributed to a study investigating the results of the REal-time Assessment of Community Transmission-1 study (REACT-1) involving a random sample of the population of England.

A pre-print version of the paper is available on the medRxiv* server, while the article undergoes peer review.

REACT-1 study

The REACT-1 assessment involved inviting the participants to take part in the study and provide a nose and throat swab in order for RT-PCR tests for the SARS-CoV-2 virus.

The participants were also asked to complete a questionnaire online, and due to this study taking place for 12 rounds, the 12th round results were compared to the results from the 11th round results. The 11th round of tests were collected from 15th April to 3rd May 2021 and the 12th round of tests were obtained between 20th May 2021 and 7th June 2021.

The results of the 12th round consisted of 135 positive PCR tests for the virus from a sample of 108,911 valid swabs that were provided. This subsequently provided an overall prevalence of 0.15% compared to 0.10%, which seen in the 11th round of testing. This illustrates the increase in positive testing for the virus, which occurred between the 11th and 12th rounds.

The researchers had used constant growth rate models in order to analyze these results and found that there was substantial evidence to suggest a recent increase in R to 1.44 with an estimated doubling time of 11 days during the 12th round of testing. The possible turning point for this rise of positive tests was found to be approximately 13th May, as after this time point, the prevalence of these positive PCR tests from the swabs had increased.

Prevalence of national swab-positivity for England estimated using a P-spline for all twelve rounds with central 50% (dark grey) and 95% (light grey) posterior credible intervals. Shown here for the entire period of the study with a log10 y-axis. Weighted observations (black dots) and 95% binomial confidence intervals (vertical lines) are also shown. Note that the period between round 7 and round 8 (December) of the model is not included as there were no data available to capture the late December peak of the epidemic.
Prevalence of national swab-positivity for England estimated using a P-spline for all twelve rounds with central 50% (dark grey) and 95% (light grey) posterior credible intervals. Shown here for the entire period of the study with a log10 y-axis. Weighted observations (black dots) and 95% binomial confidence intervals (vertical lines) are also shown. Note that the period between round 7 and round 8 (December) of the model is not included as there were no data available to capture the late December peak of the epidemic.

This news article was a review of a preliminary scientific report that had not undergone peer-review at the time of publication. Since its initial publication, the scientific report has now been peer reviewed and accepted for publication in a Scientific Journal. Links to the preliminary and peer-reviewed reports are available in the Sources section at the bottom of this article. View Sources

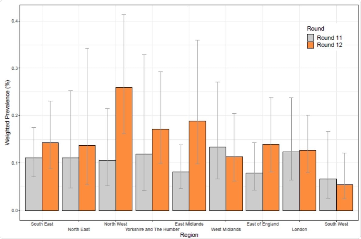
The replacement of the Alpha UK variant by the Delta Indian variant was observed by the researchers between 15th April to 7th June, which was across the 11th and 12th rounds of testing for the study. During the 12th round, the Delta variant was identified in more positive tests, from approximately 60% to 90%. This variant was only detected in London in two swab samples within the population during round 11. However, the prevalence of this variant increased to the point of being the sole lineage of the virus detected in many UK areas, such as North West, East Midlands, South East and London.

Weighted prevalence of swab-positivity by region for rounds 11 and 12. Bars show 95% confidence intervals.
Weighted prevalence of swab-positivity by region for rounds 11 and 12. Bars show 95% confidence intervals.

Prevalence factors

The prevalence of these Delta variant-related positive tests was found to be within the younger age groups, such as from 5-12-years-old, as well as being found in young adults, 18-24 years old. This variant was predominantly found in younger ages compared to those aged 65-years-old or higher, with a 2.5-fold higher rate found in populations below 50-years-old.

Geographical distribution of swab-positives in round 12. A Jittered location of all 135 positive samples detected. B Neighbourhood smoothed average prevalence by lower tier local area. Neighbourhood prevalence calculated from nearest neighbours (the median number of neighbours within 20 km in the study). Average neighbourhood prevalence displayed for individual lower-tier local authorities. Regions: NE = North East, NW = North West, YH = Yorkshire and The Humber, EM = East Midlands, WM = West Midlands, EE = East of England, L = London, SE = South East, SW = South West.
Geographical distribution of swab-positives in round 12. A Jittered location of all 135 positive samples detected. B Neighbourhood smoothed average prevalence by lower-tier local area. Neighborhood prevalence calculated from nearest neighbors (the median number of neighbors within 20 km in the study). Average neighborhood prevalence displayed for individual lower-tier local authorities. Regions: NE = North East, NW = North West, YH = Yorkshire and The Humber, EM = East Midlands, WM = West Midlands, EE = East of England, L = London, SE = South East, SW = South West.

This increase could reflect the social nature of the younger populations, from school, jobs, to extracurricular social mixing due to the ease of lockdown, which allowed six people from different households to gather at a time.

The older populations were the priority to be vaccinated and are more likely to spend longer time indoors. However, due to the vaccinations now being available and provided to the ages of 18-years and older, the spread and effect of the Delta variant may decrease.

An extremely significant risk factor in the spread of the SARS-CoV-2 variant consists of areas of deprivation, with there being an approximately 2-fold increase in swab-positivity of participants within deprived areas when compared to non-deprived areas.

This risk is due to an amalgamation of various factors such as working conditions, housing, overcrowding as well as having access to available outdoor areas.

These factors are essential in the spread of the virus and reflect the results of the REACT-1 study; deprived areas are always the most sensitive target for infectious diseases and this can prevent the progress out of this pandemic, as well as in preventing future pandemics.

The REACT-1 study has reported the exponential growth in the Delta variant found in the UK within positive tests from participants across England, and younger populations may have mainly propagated this. In order to progress out of the pandemic and overcome the challenge that is presented by the Delta variant, younger populations require monitoring, and with the vaccine roll-out, along with further research into monitoring SARS-CoV-2, the infection rates can hopefully be reduced across the UK.

This news article was a review of a preliminary scientific report that had not undergone peer-review at the time of publication. Since its initial publication, the scientific report has now been peer reviewed and accepted for publication in a Scientific Journal. Links to the preliminary and peer-reviewed reports are available in the Sources section at the bottom of this article. View Sources

Journal references:

Article Revisions

  • Apr 11 2023 - The preprint preliminary research paper that this article was based upon was accepted for publication in a peer-reviewed Scientific Journal. This article was edited accordingly to include a link to the final peer-reviewed paper, now shown in the sources section.
Marzia Khan

Written by

Marzia Khan

Marzia Khan is a lover of scientific research and innovation. She immerses herself in literature and novel therapeutics which she does through her position on the Royal Free Ethical Review Board. Marzia has a MSc in Nanotechnology and Regenerative Medicine as well as a BSc in Biomedical Sciences. She is currently working in the NHS and is engaging in a scientific innovation program.

Citations

Please use one of the following formats to cite this article in your essay, paper or report:

  • APA

    Khan, Marzia. (2023, April 11). Resurgent SARS-CoV-2 infections in England linked to Delta variant. News-Medical. Retrieved on January 17, 2026 from https://appetitesciencelab.com/news/20210624/Resurgent-SARS-CoV-2-infections-in-England-linked-to-Delta-variant.aspx.

  • MLA

    Khan, Marzia. "Resurgent SARS-CoV-2 infections in England linked to Delta variant". News-Medical. 17 January 2026. <https://appetitesciencelab.com/news/20210624/Resurgent-SARS-CoV-2-infections-in-England-linked-to-Delta-variant.aspx>.

  • Chicago

    Khan, Marzia. "Resurgent SARS-CoV-2 infections in England linked to Delta variant". News-Medical. https://appetitesciencelab.com/news/20210624/Resurgent-SARS-CoV-2-infections-in-England-linked-to-Delta-variant.aspx. (accessed January 17, 2026).

  • Harvard

    Khan, Marzia. 2023. Resurgent SARS-CoV-2 infections in England linked to Delta variant. News-Medical, viewed 17 January 2026, https://appetitesciencelab.com/news/20210624/Resurgent-SARS-CoV-2-infections-in-England-linked-to-Delta-variant.aspx.

Comments

The opinions expressed here are the views of the writer and do not necessarily reflect the views and opinions of News Medical.
Post a new comment
Post

Sign in to keep reading

We're committed to providing free access to quality science. By registering and providing insight into your preferences you're joining a community of over 1m science interested individuals and help us to provide you with insightful content whilst keeping our service free.

or

While we only use edited and approved content for Azthena answers, it may on occasions provide incorrect responses. Please confirm any data provided with the related suppliers or authors. We do not provide medical advice, if you search for medical information you must always consult a medical professional before acting on any information provided.

Your questions, but not your email details will be shared with OpenAI and retained for 30 days in accordance with their privacy principles.

Please do not ask questions that use sensitive or confidential information.

Read the full Terms & Conditions.

You might also like...
Llama-derived nanobody VHH21 destroys the spike-trimer of SARS-CoV-2