Modeling the risk of SARS-CoV-2 outbreaks upon lifting non-pharmaceutical interventions (NPIs)

Many of the non-pharmaceutical interventions that have been put in place since the beginning of the COVID-19 pandemic, such as travel restrictions and business closures, are being relaxed as vaccines and testing become more widely available. In doing so, experts have highlighted the risk that local outbreaks are likely to occur, and early reports have observed such spikes.

In a paper recently uploaded to the preprint server medRxiv* by Sachak-Patwa et al. (May 22nd, 2021), mathematical models are developed to assess the probability and impact of such localized outbreaks, accounting for changing general immunity levels in the population as vaccines are distributed. Two locations, in particular, were selected by the group to apply the model: the island of the Isle of Man, UK, and Israel, given the relatively well-controlled and accounted for population, wide vaccine roll-out, and constantly low COVID-19 numbers that mean non-vaccine induced immunity has low prevalence in these locations.

This news article was a review of a preliminary scientific report that had not undergone peer-review at the time of publication. Since its initial publication, the scientific report has now been peer reviewed and accepted for publication in a Scientific Journal. Links to the preliminary and peer-reviewed reports are available in the Sources section at the bottom of this article. View Sources

Developing the model

Non-pharmaceutical interventions have proved extremely effective when properly applied. New Zealand, Australia, and Sweden often are cited as good examples of well-implemented travel policies, lockdown procedures, and thorough contact tracing.

The distribution of vaccines, too, has proven highly effective in reducing the proliferation of and presentation of symptoms of SARS-CoV-2, and countries that have undertaken widespread vaccination programs have seen a significant drop in the per-day cases of COVID-19, allowing some travel restrictions to be lifted.

However, vaccines do not entirely prevent transmission, and the entirety of the population is yet to be immunized, starkly so in less-developed countries. Some studies suggest that mixed populations of immunized and non-immunized individuals are more likely to provide ideal conditions for the development of SARS-CoV-2 escape mutants that evade vaccine-induced immunity. The introduction of such mutants from abroad becomes an increasing threat as travel restrictions are lifted.

Branching process mathematical models are frequently used to describe and predict pathogen transmission in epidemiology, using the common formula:

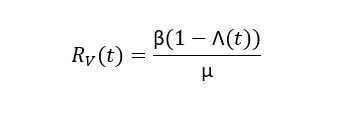
Where R is the reproduction number of the virus, and I0 is the number of newly introduced infectious cases. This formula assumes that the reproduction number is a fixed value. However, the introduction of vaccines alters this value by lowering transmissibility and pathogenicity. To account for this factor, the group developed a model that adjusts reproduction number based on the number of individuals vaccinated:

Where ß represents the number of new infections in a set period, 1/µ being the duration of infectiousness, and Λ the effective immunity rate by vaccination, accounting for the expected rate of immunity from first or second doses. Therefore Rv(t) is the predicted number of secondary infections generated by a single infection individual in the population at time t, representing “instantaneous transmission.” If there were no vaccinated members of the population (Λ(t)=0), then R would be set to the original wildtype reproduction number.

Analyzing the data

Utilizing data regarding vaccination and infection rates from the Isle of Man and Israel, the group plotted the outbreak risk of each location, accounting for immunity developed by vaccination. At the ordinary wildtype reproduction number of 3, being gradually reduced by vaccination as discussed, the risk of outbreak reduced from over 0.6 in both locations in January 2021, lowering to around 0.5 and 0.25 in the Isle of Man and Israel, respectively, by May 2021, the end-point of data collection. Past this point, based on predicted vaccination rates, each location is expected to lower to a respective outbreak risk of 0.0 and 0.2 by August 2021. The massive population size discrepancy between these locations accounts for the much more rapid change seen in the Isle of Man, while Israel implemented the vaccination program earlier.

Setting the reproductive rate of the virus to 5 instead of 3, to represent a highly pathogenic escape mutant, instead saw these numbers at around 0.5 by this time, demonstrating the risk posed to even heavily vaccinated populations by the introduction of these lineages. As these calculations do not account for non-pharmaceutical interventions, they assume that they have been completely lifted. Thus the data indicates that the lifting of restrictions can go ahead safely in the absence of highly pathogenic escape mutants, for which new vaccines may need to be developed.

The group state that future outbreaks are likely to be smaller in scale than previously observed for COVID-19 before vaccines were widely administered, presuming that no escape mutant entirely avoids engineered immunity. However, background immunity was not considered by this model, and would likely contribute, particularly in countries that have experienced high case numbers.

Additionally, immunity acquired by any method will fade over time, and the risk of foreign variants sparking an outbreak will remain even once the population is fully vaccinated. A global approach that would reduce the number of mutant variants transported around the world, giving them a chance to develop further variation, is recommended by the authors. This should be combined with an emphasis on surveillance of inbound passengers and which virus lineages they may carry.

This news article was a review of a preliminary scientific report that had not undergone peer-review at the time of publication. Since its initial publication, the scientific report has now been peer reviewed and accepted for publication in a Scientific Journal. Links to the preliminary and peer-reviewed reports are available in the Sources section at the bottom of this article. View Sources

Journal references:

Article Revisions

  • Apr 8 2023 - The preprint preliminary research paper that this article was based upon was accepted for publication in a peer-reviewed Scientific Journal. This article was edited accordingly to include a link to the final peer-reviewed paper, now shown in the sources section.
Michael Greenwood

Written by

Michael Greenwood

Michael graduated from the University of Salford with a Ph.D. in Biochemistry in 2023, and has keen research interests towards nanotechnology and its application to biological systems. Michael has written on a wide range of science communication and news topics within the life sciences and related fields since 2019, and engages extensively with current developments in journal publications.  

Citations

Please use one of the following formats to cite this article in your essay, paper or report:

  • APA

    Greenwood, Michael. (2023, April 08). Modeling the risk of SARS-CoV-2 outbreaks upon lifting non-pharmaceutical interventions (NPIs). News-Medical. Retrieved on January 17, 2026 from https://appetitesciencelab.com/news/20210525/Modeling-the-risk-of-SARS-CoV-2-outbreaks-upon-lifting-non-pharmaceutical-interventions-(NPIs).aspx.

  • MLA

    Greenwood, Michael. "Modeling the risk of SARS-CoV-2 outbreaks upon lifting non-pharmaceutical interventions (NPIs)". News-Medical. 17 January 2026. <https://appetitesciencelab.com/news/20210525/Modeling-the-risk-of-SARS-CoV-2-outbreaks-upon-lifting-non-pharmaceutical-interventions-(NPIs).aspx>.

  • Chicago

    Greenwood, Michael. "Modeling the risk of SARS-CoV-2 outbreaks upon lifting non-pharmaceutical interventions (NPIs)". News-Medical. https://appetitesciencelab.com/news/20210525/Modeling-the-risk-of-SARS-CoV-2-outbreaks-upon-lifting-non-pharmaceutical-interventions-(NPIs).aspx. (accessed January 17, 2026).

  • Harvard

    Greenwood, Michael. 2023. Modeling the risk of SARS-CoV-2 outbreaks upon lifting non-pharmaceutical interventions (NPIs). News-Medical, viewed 17 January 2026, https://appetitesciencelab.com/news/20210525/Modeling-the-risk-of-SARS-CoV-2-outbreaks-upon-lifting-non-pharmaceutical-interventions-(NPIs).aspx.

Comments

The opinions expressed here are the views of the writer and do not necessarily reflect the views and opinions of News Medical.
Post a new comment
Post

Sign in to keep reading

We're committed to providing free access to quality science. By registering and providing insight into your preferences you're joining a community of over 1m science interested individuals and help us to provide you with insightful content whilst keeping our service free.

or

While we only use edited and approved content for Azthena answers, it may on occasions provide incorrect responses. Please confirm any data provided with the related suppliers or authors. We do not provide medical advice, if you search for medical information you must always consult a medical professional before acting on any information provided.

Your questions, but not your email details will be shared with OpenAI and retained for 30 days in accordance with their privacy principles.

Please do not ask questions that use sensitive or confidential information.

Read the full Terms & Conditions.

You might also like...
COVID-19 immunity stays specific and barely boosts protection against common cold coronaviruses