A large team of researchers from the US demonstrated that pets with the severe acute respiratory syndrome coronavirus 2 (SARS-CoV-2) likely acquired the putative virus from humans. This suggests that human-animal infection may actually occur much more frequently than previously thought – implying that infected individuals should limit their contact with animals. The paper is currently available on the bioRxiv* preprint server.
Both natural and experimental infections with SARS-CoV-2 – a causative agent of the ongoing coronavirus disease 2019 (COVID-19) pandemic – have been demonstrated in various species of companion animals, which includes dogs, cats, hamsters, rabbits, and ferrets.
However, albeit cats, hamsters, and ferrets were shown to transmit SARS-CoV-2 to naïve members of the same species, natural infections of companion animals have been seen almost exclusively after contact with an individual has COVID-19.
Due to omnipresent human-animal interactions, this issue has to be taken into account during pandemic times, potentially with the use of the One Health approach, which is a transdisciplinary and multisectoral collaboration that aims to achieve optimal health outcomes by acknowledging the interconnectedness between people, animals, plants and their mutual environment.
Hence, as a part of an ongoing COVID-19 household transmission investigation, researchers from Utah and Wisconsin conducted a One Health appraisal of SARS-CoV-2 infection in pet cohabitants as one of the earliest research endeavors in assessing risk and behavioral factors shared between people and pets.
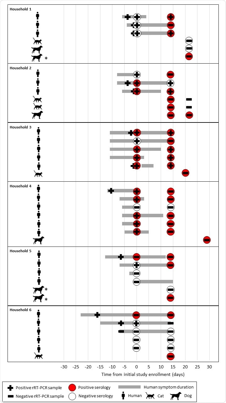
COVID-19 diagnostic testing and symptom duration among humans and animals in households with a seropositive pet, One Health COVID-19 Household Transmission Investigation, April–May 2020. Symptoms durations are shown only for humans. Pets with clinical signs are denoted with an *.
The hunt for viral RNA and antibodies in pets
The study was conducted between April and May of 2020, and mammalian pets from households with one (or more than one) individual with laboratory-confirmed COVID-19 were eligible for inclusion. Physical characteristics of each residence (which includes size) were described in depth.
In short, demographic and exposure information has been collected from all household members. At the same time, the pets were tested with the use of real-time reverse transcription-polymerase chain reaction (rRT-PCR) and neutralization assays from oropharyngeal, nasal, rectal, fur, fecal, and blood samples.
However, the analysis of household prevention measures (such as the use of facemasks by index patients) has been hampered by small sample sizes in this study; hence, additional investigations are warranted to characterize their effectiveness for the prevention of SARS-CoV-2 transmission to pets.
Like owner, like pet
All oropharyngeal, nasal, and rectal swabs from the tested animals were negative by when rRT-PCR was conducted; however, fur swabs from the one dog tested positive with the use of this molecular method at the first animal sampling. This is actually the first study to detect RNA of a virus from an animal fur.
Furthermore, in households where individuals with laboratory-confirmed COVID-19 resided together with their pets, 20% had pets with serological evidence of prior SARS-CoV-2 infection, implying a certain rate of secondary viral transmission. More specifically, there were four dogs and four cats from six households with detectable neutralizing antibodies against the virus.
SARS-CoV-2 seropositivity in pets was more pervasive in households with higher rates of human COVID-19 infections and much less prevalent in cases when owners limited interactions with their pets after they have developed symptoms of the disease.
One Health in pandemic preparedness
Even though the risk of transmission can still be considered low, comprehending the exact epidemiologic role of animals in the ongoing COVID-19 pandemic is pivotal to inform guidance and decision-making for both public health officers and animal health officials.
“Our findings add to the growing body of evidence demonstrating SARS-CoV-2 transmission can occur between people and pets – most often from people to pets – and suggest this transmission may occur more frequently than previously recognized”, say study authors in this bioRxiv paper.
In any case, the findings in this study underscore the importance of additional research, which includes identifying specific risk factors for human-to-pet transmission, taking into account pets in public health guidance during the pandemic era, but also the inclusion of pets in future pandemic preparedness planning.

This news article was a review of a preliminary scientific report that had not undergone peer-review at the time of publication. Since its initial publication, the scientific report has now been peer reviewed and accepted for publication in a Scientific Journal. Links to the preliminary and peer-reviewed reports are available in the Sources section at the bottom of this article. View Sources
Journal references:
- Preliminary scientific report.
Goryoka, G.W. et al. (2021). One Health Investigation of SARS-CoV-2 Infection and Seropositivity among Pets in Households with Confirmed Human COVID-19 Cases — Utah and Wisconsin, 2020. bioRxiv. https://doi.org/10.1101/2021.04.11.439379, https://www.biorxiv.org/content/10.1101/2021.04.11.439379v1
- Peer reviewed and published scientific report.
Goryoka, Grace W., Caitlin M. Cossaboom, Radhika Gharpure, Patrick Dawson, Cassandra Tansey, John Rossow, Victoria Mrotz, et al. 2021. “One Health Investigation of SARS-CoV-2 Infection and Seropositivity among Pets in Households with Confirmed Human COVID-19 Cases—Utah and Wisconsin, 2020.” Viruses 13 (9): 1813. https://doi.org/10.3390/v13091813. https://www.mdpi.com/1999-4915/13/9/1813.