Research from Israel shows mRNA vaccine is ~50% effective in reducing severe cases

Amid the coronavirus disease (COVID-19) pandemic, caused by the severe acute respiratory syndrome coronavirus 2 (SARS-CoV-2), there is a ray of hope as vaccinations against the virus roll out in many countries.

Israel is one of the countries that has started vaccinating its residents. The country has administered more than 55 doses of either the Pfizer or the Moderna vaccine for every 100 residents. A third of its population has already received at least the first dose of the required two doses to date.

In a report published on the pre-print server medRxiv*, researchers at The Hebrew University of Jerusalem, the University of Trento, and the Racah Institute of Physics suggest that the shape of the outbreak in patients over 60 years old has changed because of the vaccinations.

After the vaccination roll out in Israel, there has been a decline in new moderate and severe cases earlier than expected, by about a week.

Effective reproduction number Re in Israel, as estimated by the 4-day growth factor of daily confirmed cases, with respect to the onset of the national lockdowns either on Sep 19, 2020 (gray line), or Jan. 8, 2021 (black line). Shaded area denotes 1.5 standard deviations about 𝑅𝑒 of the black line. One observes the striking similarity between Re’s, which represents the dynamics of the outbreak, between the two lockdowns.
Effective reproduction number Re in Israel, as estimated by the 4-day growth factor of daily confirmed cases, with respect to the onset of the national lockdowns either on Sep 19, 2020 (gray line), or Jan. 8, 2021 (black line). Shaded area denotes 1.5 standard deviations about ���� of the black line. One observes the striking similarity between Re’s, which represents the dynamics of the outbreak, between the two lockdowns.

*Important notice: medRxiv publishes preliminary scientific reports that are not peer-reviewed and, therefore, should not be regarded as conclusive, guide clinical practice/health-related behavior, or treated as established information.

Israel’s COVID-19 vaccine campaign

About one in three residents in Israel has received vaccination against COVID-19 since December 19, 2021. The country’s prime minister, Binyamin Netanyahu, has campaigned heavily for vaccinations, personally negotiating with Pfizer, one of the forerunners in developing a COVID-19 vaccine, to secure early shipments of the vaccines.

The campaign prioritized individuals aged 60 years old and over, immune-deficient patients, and health workers. By January 25, 2021, about 2.6 million Israelis, or 29 percent of the population, had been vaccinated with at least the first dose. The second dose is rolling out, yielding a vaccine coverage of 80 percent.

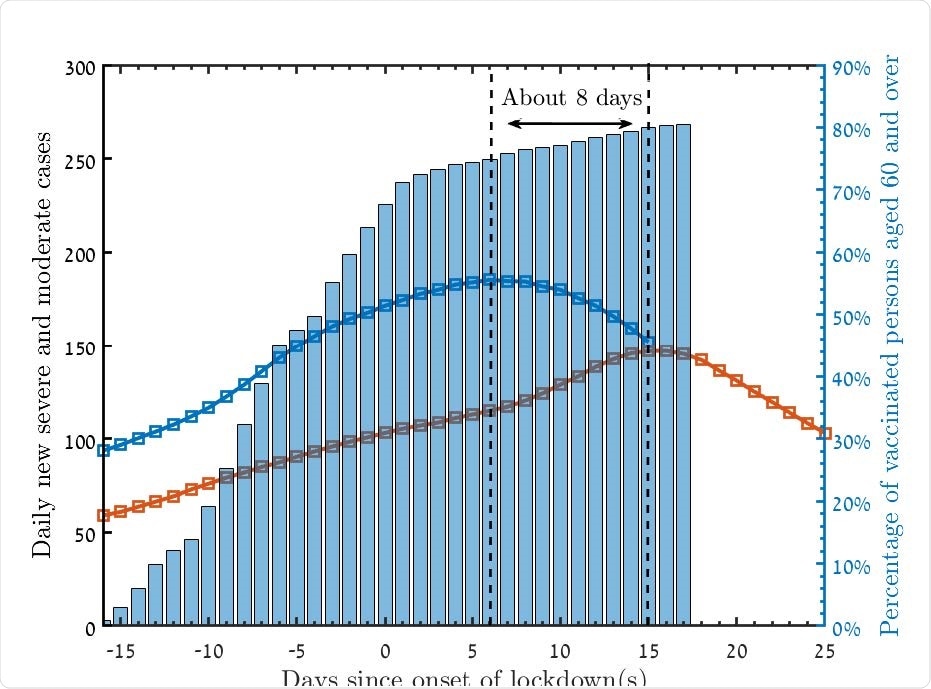
New daily moderate and severe cases among patients older than 60 in the January lockdown (blue), and September lockdown (red). The bars represent the percentage of vaccinated people older than 60 years old, relative to the January lockdown. The time difference of about 8 days between the peaks is an indication for the vaccination effectiveness.
New daily moderate and severe cases among patients older than 60 in the January lockdown (blue), and September lockdown (red). The bars represent the percentage of vaccinated people older than 60 years old, relative to the January lockdown. The time difference of about 8 days between the peaks is an indication for the vaccination effectiveness.

With the rapid vaccine roll-out, there is evidence that the program is significantly affecting virus transmission in the country. The cases of COVID-19 in Israel are falling among older adults, who were among the first people who received their vaccines.

Hospital admissions among the over 60’s have declined by 26 percent since the peak on January 19. However, among those between 40 and 59 years old, the age group in the queue to be vaccinated, the number of severe cases increases by 13 percent.

The new daily moderate and severe cases for three different vaccine effectiveness scenarios, and without vaccines. Solid line: Long effective lockdown with an effective vaccine. Dashed (dotted) line: Long effective lockdown with 95% (50%) effectiveness in preventing morbidity, while not preventing infections .
The new daily moderate and severe cases for three different vaccine effectiveness scenarios, and without vaccines. Solid line: Long effective lockdown with an effective vaccine. Dashed (dotted) line: Long effective lockdown with 95% (50%) effectiveness in preventing morbidity, while not preventing infections .

Effectiveness of vaccines in mitigating the pandemic

Israel is a perfect example to determine the efficacy of vaccinations against SARS-CoV-2 on mitigating the number of cases, particularly moderate to severe ones that require hospitalization.

To arrive at the study findings, the team used data analysis to model epidemic dynamics in the country, comparing various lockdown duration and efficacy scenarios. The team modeled each scenario with and without the vaccine coverage.

Further, the researchers studied the daily trends of new confirmed cases, including new moderate or severe COVID-19 cases in Israel.

Moderate cases are those patients with COVID-19 who developed bilateral pneumonia. Meanwhile, severe cases are those with COVID-19 with oxygen saturation below 93 percent while breathing ambient air. These cases are at a higher risk of health deterioration, with a 15 to 20 percent fatality rate within ten days.

The team also noted that, on average, moderate and severe COVID-19 admissions occur about five days following a positive test and about 10 days from the actual onset of infection. Hence, the number of new and severe COVID-19 cases may provide an insight into the dynamics of the disease.

The study also tackled the trends of moderate and severe cases as potential measures of disease dynamics and the effect of the vaccine on the outbreak.

The study findings showed that the shape of the COVID-19 outbreak, based on the daily new moderate and severe cases in patients over 60, has changed due to vaccination efforts. The decline in the new moderate and severe cases occurred earlier than expected, by an estimated one week.

The team also noted that the study findings were consistent with the theory that vaccination leads to higher than 50 percent protection in preventing clinical disease. Also, it is effective in stopping the transmission of the virus in older adults.

Overall, the researchers believe that vaccinating the most vulnerable members of the population, including the elderly and high-risk individuals, can help reduce severe cases and deaths tied to COVID-19.

“This is the first indication of the effectivity of COVID-19 vaccine in changing the course of an ongoing pandemic outbreak,” the researchers noted in the paper.

Vaccination efforts are crucial to combat the pandemic and to stop the ongoing pandemic. To date, the total number of cases has reached over 106 million, with more than 2.3 million deaths globally.

*Important notice: medRxiv publishes preliminary scientific reports that are not peer-reviewed and, therefore, should not be regarded as conclusive, guide clinical practice/health-related behavior, or treated as established information.

Journal reference:
Angela Betsaida B. Laguipo

Written by

Angela Betsaida B. Laguipo

Angela is a nurse by profession and a writer by heart. She graduated with honors (Cum Laude) for her Bachelor of Nursing degree at the University of Baguio, Philippines. She is currently completing her Master's Degree where she specialized in Maternal and Child Nursing and worked as a clinical instructor and educator in the School of Nursing at the University of Baguio.

Citations

Please use one of the following formats to cite this article in your essay, paper or report:

  • APA

    Laguipo, Angela. (2021, February 08). Research from Israel shows mRNA vaccine is ~50% effective in reducing severe cases. News-Medical. Retrieved on January 19, 2026 from https://appetitesciencelab.com/news/20210208/Research-from-Israel-shows-mRNA-vaccine-is-7e5025-effective-in-reducing-severe-cases.aspx.

  • MLA

    Laguipo, Angela. "Research from Israel shows mRNA vaccine is ~50% effective in reducing severe cases". News-Medical. 19 January 2026. <https://appetitesciencelab.com/news/20210208/Research-from-Israel-shows-mRNA-vaccine-is-7e5025-effective-in-reducing-severe-cases.aspx>.

  • Chicago

    Laguipo, Angela. "Research from Israel shows mRNA vaccine is ~50% effective in reducing severe cases". News-Medical. https://appetitesciencelab.com/news/20210208/Research-from-Israel-shows-mRNA-vaccine-is-7e5025-effective-in-reducing-severe-cases.aspx. (accessed January 19, 2026).

  • Harvard

    Laguipo, Angela. 2021. Research from Israel shows mRNA vaccine is ~50% effective in reducing severe cases. News-Medical, viewed 19 January 2026, https://appetitesciencelab.com/news/20210208/Research-from-Israel-shows-mRNA-vaccine-is-7e5025-effective-in-reducing-severe-cases.aspx.

Comments

The opinions expressed here are the views of the writer and do not necessarily reflect the views and opinions of News Medical.
Post a new comment
Post

Sign in to keep reading

We're committed to providing free access to quality science. By registering and providing insight into your preferences you're joining a community of over 1m science interested individuals and help us to provide you with insightful content whilst keeping our service free.

or

While we only use edited and approved content for Azthena answers, it may on occasions provide incorrect responses. Please confirm any data provided with the related suppliers or authors. We do not provide medical advice, if you search for medical information you must always consult a medical professional before acting on any information provided.

Your questions, but not your email details will be shared with OpenAI and retained for 30 days in accordance with their privacy principles.

Please do not ask questions that use sensitive or confidential information.

Read the full Terms & Conditions.

You might also like...
Why some people can’t lose weight even when they follow the rules